top of page
Accueil
More
Use tab to navigate through the menu items.
0 702 703 704
S'inscrire / Se connecter
utilisation de delta ( cliquer ici )
Rappel : factorisation ( cliquer ici )
Cours 1/1
Solution 1-1
Solution 1-2
Rappel : la division euclidienne ( cliquer ici )
Solution 1-3
Cours 1/2
Solution 1-4
Solution 1-5
Solution 1-6
Solution 1-7
Solution 1-8
Cours 2
Solution 2-1
Solution 2-2
Solution 2-3
Solution 2-4
Solution 2-5
Solution 2-6
Solution 2-7
Solution 2-8
Solution 2-9
Solution 2-10
Solution 2-11
Solution 2-12
Rappel : signe d'un polynôme ( cliquer ici )
Cours 3/1
Solution 3-1
Cours 3/2
Solution 3-2
Solution 3-3
Solution 3-4
Solution 3-5
Solution 3-6
Rappel : Opérations sur les limites ( cliquer ici )
Cours 4/1
Solution 4-1
Cours 4/2
Solution 4-2
Solution 4-3
Solution 4-4
Solution 4-5
Cours 4/3
Solution 4-6
Rappel : Règle de dérivation ( cliquer ici )
Cours 5
Solution 5-1
Solution 5-2
Solution 5-3
Solution 5-4
Solution 5-5
Solution 5-6
Solution 5-7
Solution 5-8
Solution 5-9
Solution 5-10
Solution 5-11
Solution 5-12
Cours 6/1
Solution 6-1
Cours 6/2
Solution 6-2
Solution 6-3
Cours 6/3
Solution 6-4
Solution 6-5
le signe d'une fonction à partir de son tableau de variations
Solution 6-6
Solution 6-7
Solution 6-8
Solution 6-9
Solution 6-10
Cours 7/1
Solution 7-1
Solution 7-2
Solution 7-3
Cours 7/2
Solution 7-4
Cours 7/3
Solution 7-5
Solution 7-6
Solution 7-7
Solution 7-8
Cours 8/1
Solution 8-1
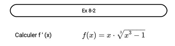
Solution 8-2
Cours 8/2
Solution 8-3
Solution 8-4
Solution 8-5
Cours 8/3
Solution 8-6
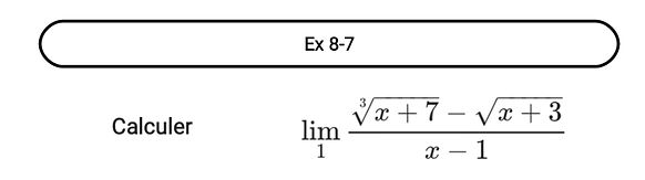
Solution 8-7
Solution 8-8
Solution 8-9
Solution 8-10
Cours 8/4
Solution 8-11
Solution 8-12
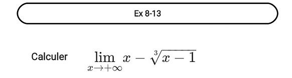
Solution 8-13
Solution 8-14
Solution 8-15
bottom of page