top of page
Accueil
ALLER AU COURS
More
Use tab to navigate through the menu items.
0 702 703 704
S'inscrire / Se connecter
EX35
écrite
Q/1:a
cliquer ici
press to zoom
Q/1:b
cliquer ici
press to zoom
Q/2:a
cliquer ici
press to zoom
Q/2:b
cliquer ici
press to zoom
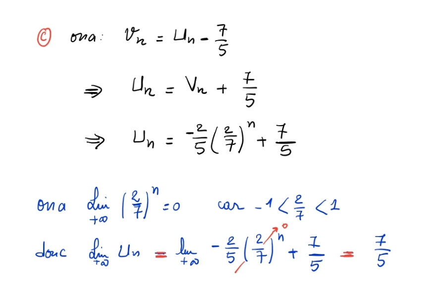
Q/2:c
cliquer ici
press to zoom
vidéo
bottom of page