top of page
Accueil
More
Use tab to navigate through the menu items.
0 702 703 704
S'inscrire / Se connecter
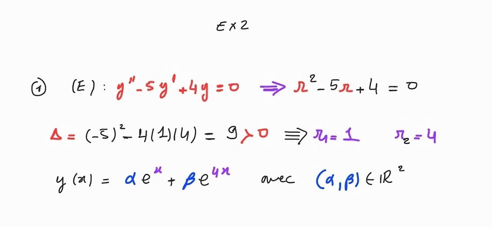
EDEX2
écrite
Q1
press to zoom
Q2
press to zoom
vidéo
bottom of page