top of page
Accueil
More
Use tab to navigate through the menu items.
0 702 703 704
S'inscrire / Se connecter
EX34
écrite
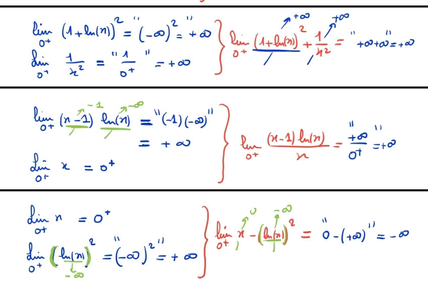
Q/1
press to zoom
Q/2
press to zoom
Q/3
press to zoom
Q/4
press to zoom
vidéo
bottom of page