top of page
Accueil
ALLER AU COURS
More
Use tab to navigate through the menu items.
0 702 703 704
S'inscrire / Se connecter
Cliquez sur le cadre
dfsujet4
Q1
Q1
Q2
Dfex4q2.mp4
Q3
Q3
Q4
Q4
Q5
Q5
Q6
Q6
Q7/a
Q7a
Q7/b
Q7b
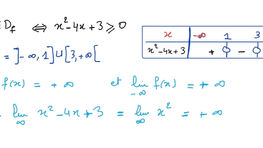
Q7/c
Q7c
bottom of page