top of page
Accueil
correction
More
Use tab to navigate through the menu items.
0 702 703 704
S'inscrire / Se connecter
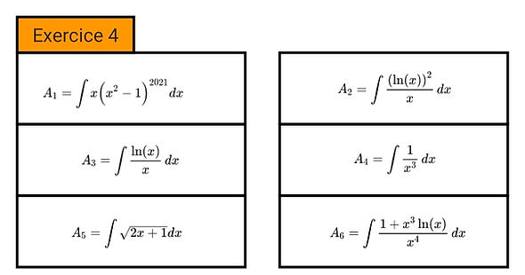
rappel de primitive
cours 1
Solution
cours 2
Solution
cours 3
Solution
cours 4
Solution
cours 5
Solution
Solution
Solution
cours 6
Solution
Solution
cours 7
Solution
Solution
Solution
Solution
Solution
Solution
cours 8
Solution
cours 9
Solution
Solution
Solution
Solution
Solution
cours 10
Solution
bottom of page